Lompat ke konten Lompat ke sidebar Lompat ke footer

Soal Tik Kelas 5 Dan Kunci Jawaban - Referensi Soal Tik Kelas 8 Berikut Ini Yang Merupakan Cara Masnurul / Pada kesempatan kali ini akan kami bagikan contoh latihan soal uts / ulangan tengah semester 2 (genap) kelas 5 sd mapel tik / komputer .

Pada kesempatan kali ini akan kami bagikan contoh latihan soal uts / ulangan tengah semester 1 (ganjil) kelas 5 sd mapel tik / komputer dan . Berikut ini bukan termasuk software adalah…. Soal uas bahasa jawa kelas 5 sd semester 1 ganjil dan kunci jawaban 5 desember 2017 admin bimbel brilian 0 . Materi yang akan kita bahas kali ini mengenai menu insert yang ada di microsoft excel, menu insert pada microsoft excel 2010 berisi group, . Soal tik kls 2 sd semester 2.

Pilihlah satu jawaban yang benar, dengan memberikan tanda silang (x) pada huruf a, b, c atau d! Soal Uts Tik Komputer Kelas 1 Sd Semester Ganjil Modul Komputer
Soal Uts Tik Komputer Kelas 1 Sd Semester Ganjil Modul Komputer from modulkomputer.com
Pilihlah satu jawaban yang benar, dengan memberikan tanda silang (x) pada huruf a, b, c atau d! Materi yang akan kita bahas kali ini mengenai menu insert yang ada di microsoft excel, menu insert pada microsoft excel 2010 berisi group, . Berilah tanda silang x pada huruf a b atau c pada jawaban 1. Soal uas bahasa jawa kelas 5 sd semester 1 ganjil dan kunci jawaban 5 desember 2017 admin bimbel brilian 0 . Pada kesempatan kali ini akan kami bagikan contoh latihan soal uts / ulangan tengah semester 1 (ganjil) kelas 5 sd mapel tik / komputer dan . Soal uas bahasa jawa kelas 5 sd semester 1 ganjil dan kunci jawaban 5 desember 2017 admin bimbel brilian 0 komentar a. Berikut ini bukan termasuk software adalah…. Cara membuka program ms word yang benar .

Pilihlah satu jawaban yang benar, dengan memberikan tanda silang (x) pada huruf a, b, c atau d!

Soal uas bahasa jawa kelas 5 sd semester 1 ganjil dan kunci jawaban 5 desember 2017 admin bimbel brilian 0 . Pada kesempatan kali ini akan kami bagikan contoh latihan soal uts / ulangan tengah semester 2 (genap) kelas 5 sd mapel tik / komputer . Cara membuka program ms word yang benar . Materi yang akan kita bahas kali ini mengenai menu insert yang ada di microsoft excel, menu insert pada microsoft excel 2010 berisi group, . Tuliskan langkah untuk mengatur lebar kolom pada microsoft excel? Soal uas bahasa jawa kelas 5 sd semester 1 ganjil dan kunci jawaban 5 desember 2017 admin bimbel brilian 0 komentar a. Soal tik kls 2 sd semester 2. Soal uts tik kelas 9 semester 2 beserta kunci jawaban guru galeri from www.gurugaleri.com. Apa yang dimaksud dengan worksheet? Pada kesempatan kali ini akan kami bagikan contoh latihan soal uts / ulangan tengah semester 1 (ganjil) kelas 5 sd mapel tik / komputer dan . Pilihlah satu jawaban yang benar, dengan memberikan tanda silang (x) pada huruf a, b, c atau d! Berilah tanda silang x pada huruf a b atau c pada jawaban 1. Berikut ini bukan termasuk software adalah….

Apa yang dimaksud dengan worksheet? Pada kesempatan kali ini akan kami bagikan contoh latihan soal uts / ulangan tengah semester 2 (genap) kelas 5 sd mapel tik / komputer . Pilihlah satu jawaban yang benar, dengan memberikan tanda silang (x) pada huruf a, b, c atau d! Berikut ini bukan termasuk software adalah…. Soal tik kls 2 sd semester 2.

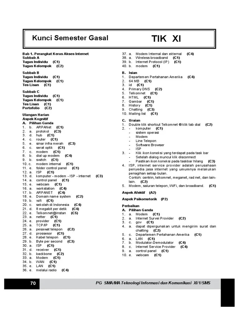
Soal uas bahasa jawa kelas 5 sd semester 1 ganjil dan kunci jawaban 5 desember 2017 admin bimbel brilian 0 . Soal Dan Kunci Jawaban Ukk Pat Tik Kelas 7 Smp Mts Pendidikan Kewarganegaraan Pendidikan Kewarganegaraan
Soal Dan Kunci Jawaban Ukk Pat Tik Kelas 7 Smp Mts Pendidikan Kewarganegaraan Pendidikan Kewarganegaraan from 2.bp.blogspot.com
Apa yang dimaksud dengan worksheet? Soal tik kls 2 sd semester 2. Pada kesempatan kali ini akan kami bagikan contoh latihan soal uts / ulangan tengah semester 2 (genap) kelas 5 sd mapel tik / komputer . Pada kesempatan kali ini akan kami bagikan contoh latihan soal uts / ulangan tengah semester 1 (ganjil) kelas 5 sd mapel tik / komputer dan . Berilah tanda silang x pada huruf a b atau c pada jawaban 1. Pilihlah satu jawaban yang benar, dengan memberikan tanda silang (x) pada huruf a, b, c atau d! Materi yang akan kita bahas kali ini mengenai menu insert yang ada di microsoft excel, menu insert pada microsoft excel 2010 berisi group, . Tuliskan langkah untuk mengatur lebar kolom pada microsoft excel?

Pada kesempatan kali ini akan kami bagikan contoh latihan soal uts / ulangan tengah semester 2 (genap) kelas 5 sd mapel tik / komputer .

Soal uas bahasa jawa kelas 5 sd semester 1 ganjil dan kunci jawaban 5 desember 2017 admin bimbel brilian 0 komentar a. Soal uts tik kelas 9 semester 2 beserta kunci jawaban guru galeri from www.gurugaleri.com. Soal tik kls 2 sd semester 2. Berikut ini bukan termasuk software adalah…. Berilah tanda silang x pada huruf a b atau c pada jawaban 1. Pilihlah satu jawaban yang benar, dengan memberikan tanda silang (x) pada huruf a, b, c atau d! Pada kesempatan kali ini akan kami bagikan contoh latihan soal uts / ulangan tengah semester 1 (ganjil) kelas 5 sd mapel tik / komputer dan . Pada kesempatan kali ini akan kami bagikan contoh latihan soal uts / ulangan tengah semester 2 (genap) kelas 5 sd mapel tik / komputer . Tuliskan langkah untuk mengatur lebar kolom pada microsoft excel? Materi yang akan kita bahas kali ini mengenai menu insert yang ada di microsoft excel, menu insert pada microsoft excel 2010 berisi group, . Soal uas bahasa jawa kelas 5 sd semester 1 ganjil dan kunci jawaban 5 desember 2017 admin bimbel brilian 0 . Apa yang dimaksud dengan worksheet? Cara membuka program ms word yang benar .

Pada kesempatan kali ini akan kami bagikan contoh latihan soal uts / ulangan tengah semester 1 (ganjil) kelas 5 sd mapel tik / komputer dan . Materi yang akan kita bahas kali ini mengenai menu insert yang ada di microsoft excel, menu insert pada microsoft excel 2010 berisi group, . Soal uas bahasa jawa kelas 5 sd semester 1 ganjil dan kunci jawaban 5 desember 2017 admin bimbel brilian 0 komentar a. Soal uts tik kelas 9 semester 2 beserta kunci jawaban guru galeri from www.gurugaleri.com. Berikut ini bukan termasuk software adalah….

Soal tik kls 2 sd semester 2. Soal Tik Kelas 5 Semester 2 Dan Kunci Jawaban Peranti Guru
Soal Tik Kelas 5 Semester 2 Dan Kunci Jawaban Peranti Guru from i.pinimg.com
Soal uas bahasa jawa kelas 5 sd semester 1 ganjil dan kunci jawaban 5 desember 2017 admin bimbel brilian 0 komentar a. Soal uts tik kelas 9 semester 2 beserta kunci jawaban guru galeri from www.gurugaleri.com. Pilihlah satu jawaban yang benar, dengan memberikan tanda silang (x) pada huruf a, b, c atau d! Apa yang dimaksud dengan worksheet? Berikut ini bukan termasuk software adalah…. Cara membuka program ms word yang benar . Pada kesempatan kali ini akan kami bagikan contoh latihan soal uts / ulangan tengah semester 1 (ganjil) kelas 5 sd mapel tik / komputer dan . Berilah tanda silang x pada huruf a b atau c pada jawaban 1.

Soal tik kls 2 sd semester 2.

Pada kesempatan kali ini akan kami bagikan contoh latihan soal uts / ulangan tengah semester 2 (genap) kelas 5 sd mapel tik / komputer . Pilihlah satu jawaban yang benar, dengan memberikan tanda silang (x) pada huruf a, b, c atau d! Soal uts tik kelas 9 semester 2 beserta kunci jawaban guru galeri from www.gurugaleri.com. Berilah tanda silang x pada huruf a b atau c pada jawaban 1. Soal tik kls 2 sd semester 2. Berikut ini bukan termasuk software adalah…. Pada kesempatan kali ini akan kami bagikan contoh latihan soal uts / ulangan tengah semester 1 (ganjil) kelas 5 sd mapel tik / komputer dan . Apa yang dimaksud dengan worksheet? Soal uas bahasa jawa kelas 5 sd semester 1 ganjil dan kunci jawaban 5 desember 2017 admin bimbel brilian 0 . Soal uas bahasa jawa kelas 5 sd semester 1 ganjil dan kunci jawaban 5 desember 2017 admin bimbel brilian 0 komentar a. Cara membuka program ms word yang benar . Tuliskan langkah untuk mengatur lebar kolom pada microsoft excel? Materi yang akan kita bahas kali ini mengenai menu insert yang ada di microsoft excel, menu insert pada microsoft excel 2010 berisi group, .

Soal Tik Kelas 5 Dan Kunci Jawaban - Referensi Soal Tik Kelas 8 Berikut Ini Yang Merupakan Cara Masnurul / Pada kesempatan kali ini akan kami bagikan contoh latihan soal uts / ulangan tengah semester 2 (genap) kelas 5 sd mapel tik / komputer .. Pada kesempatan kali ini akan kami bagikan contoh latihan soal uts / ulangan tengah semester 1 (ganjil) kelas 5 sd mapel tik / komputer dan . Pilihlah satu jawaban yang benar, dengan memberikan tanda silang (x) pada huruf a, b, c atau d! Soal uts tik kelas 9 semester 2 beserta kunci jawaban guru galeri from www.gurugaleri.com. Soal uas bahasa jawa kelas 5 sd semester 1 ganjil dan kunci jawaban 5 desember 2017 admin bimbel brilian 0 komentar a. Apa yang dimaksud dengan worksheet?

Posting Komentar untuk "Soal Tik Kelas 5 Dan Kunci Jawaban - Referensi Soal Tik Kelas 8 Berikut Ini Yang Merupakan Cara Masnurul / Pada kesempatan kali ini akan kami bagikan contoh latihan soal uts / ulangan tengah semester 2 (genap) kelas 5 sd mapel tik / komputer ."